dsj541kghのアイコン画像
dsj541kgh 2025年12月26日作成
セットアップや使用方法 セットアップや使用方法 閲覧数 268
dsj541kgh 2025年12月26日作成 セットアップや使用方法 セットアップや使用方法 閲覧数 268

加速度センサの温度を測る

IMUモジュールってバイアスとかスケールが温度によって変わるらしい。温度データも同時に出力するIMUを使ってその傾向を眺めてみた。
 計測パターンは典型的な6軸方向、それぞれ40~50分間計測した。

まずは時間経過を見てみると以下のような感じ。加速度はY軸のみ表示する。
温度の時系列データ
y軸加速度の時系列データ

以上のように、30分程度で温度が30℃前後で落ち着き加速度もそれに追従する形で動いているように見える。加速度には外れ値が見られるが、これはセンサと一緒に設置していたPCを操作したときの振動と考えられた。ちなみにPCはファンレスなのでファン振動の影響はないと思う。

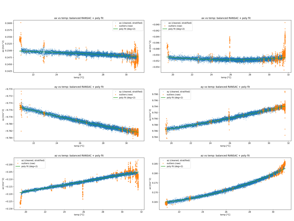
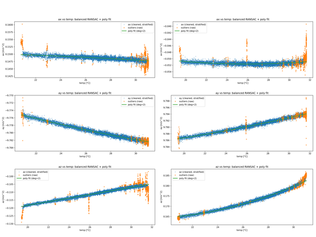
続いて、温度と加速度の関係を見てみる。外れ値除去と近似式の推定は、一般的なRANSACの方法で行った。オレンジのプロットが除外した外れ値。
y軸を鉛直上・下向きに静置したときの結果

ついでにジャイロの数値も見たが、そっちはあんまり温度による変化は見られなかった。
これを基にバイアス?スケール?の補正式作ったら電源投入直後時からええ感じに位置推定とかできるのだろうか。

  • dsj541kgh さんが 2025/12/26 に 編集 をしました。 (メッセージ: 初版)
  • Opening
    haru5yaのアイコン画像 haru5ya 2025/12/28

    IMUに対する温度というのは考えたことがなかったので、勉強になります。
    使用されたIMUモジュールの機種名を教えてもらえるとありがたいです。

    0 件の返信が折りたたまれています
ログインしてコメントを投稿する